コンテンツへスキップ

COVID-19 日本の情報開示欠陥があらわに OWDデータベースの一例

2021/05/28

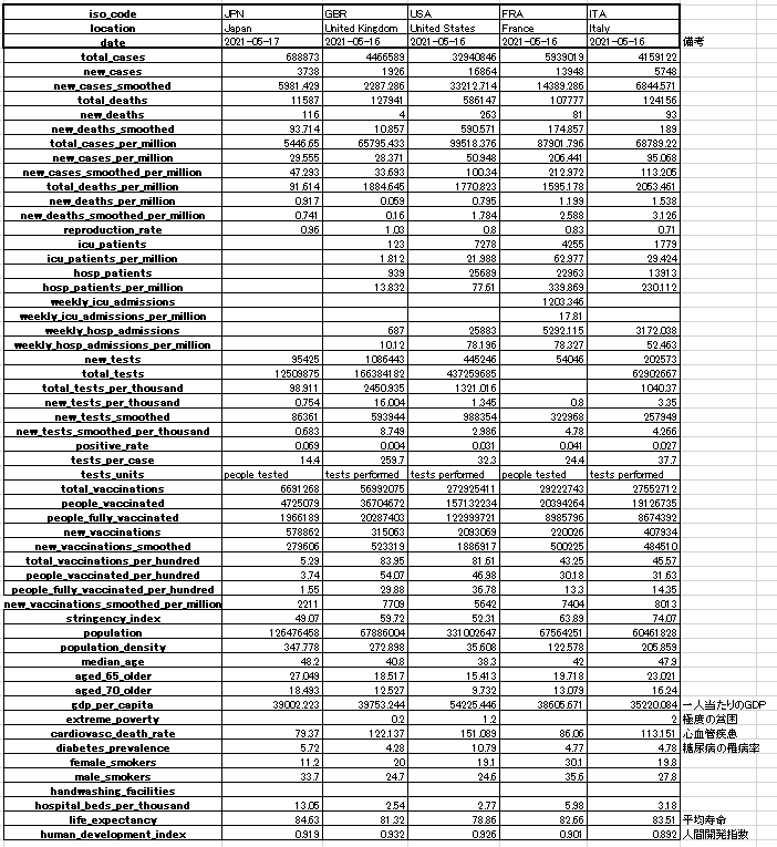
OWDの収集努力にもかかわらず日本の医療体制の統計値が入手できていない。これは日本の各自治体が集計データを持っていても、医療行政の責任とかかわりのある情報の公開は、政府の承認がないとの理由から世界に公表できないのだろうか。こうした欠陥を見ると日本政府の公表データの信頼性が疑われる原因である。

https://covid.ourworldindata.org/data/owid-covid-data.xlsx

自由民主主義国の日本、医療水準が高いと自負す日本、私立大学や独立系の組織による研究機関などの取集したデータベースや研究成果が見られないのは奇異である。

No comments yet

コメントを残す

このサイトはスパムを低減するために Akismet を使っています。コメントデータの処理方法の詳細はこちらをご覧ください