コンテンツへスキップ

高齢運転者の歩行者との死亡事故は 他の年齢層に比べて男女とも少ない イギリスの場合

2015/01/29

英国での高齢者ドライバーの運転免許発行と安全性。

Accident Analysis and Prevention 50(2013)732-741

The licensing and safety of older drivers in Britain

ミッチェルCG 1

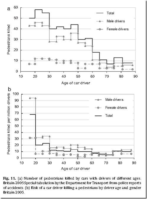
この論文の第11図に示すように年齢層別運転者の歩行者との死亡事故に関しては、歩行者の死者数、運転者数百万人当たりでも70歳以上の運転者は最も少ない。

image

http://www.ncbi.nlm.nih.gov/pubmed/22831499

日本では交通事故データーの独占収集機関である警察庁はこのような分析ができるデータベースを公表していない。

No comments yet

コメントを残す

このサイトはスパムを低減するために Akismet を使っています。コメントデータの処理方法の詳細はこちらをご覧ください