自動車運転事故リスクは20~39歳層が最も大きい 修正された評価法によるドライバーの年齢、性別、および時間帯による分析
Crash risk by driver age, gender, and time of day using a new exposure methodology☆☆☆
新しい暴露(路上にさらされている度合い)方法論によるドライバーの年齢、性別、および時間帯による自動車運転事故リスク
CarolynMcAndrewsa,KirstenBeyerb,Clare E.GusecdPeterLaydeed,
https://www.sciencedirect.com/science/article/abs/pii/S0001457513003163
ハイライト
- 新しく事故頻度と線形の関連性を持つ走行依存性変数を用いて、事故リスクを推定値した。
- 運転者の年齢、性別、日間時間帯毎に調整した新しい変数で算出した事故リスクと従来の事故率とを比較した。
- 事故リスクは21~29歳のドライバーが最も高く、年齢とともに徐々に減少している。(従来の方法では10代のドライバーが飛びぬけて大きい)
- 70歳以上の致命的な障害のリスクは、事故の衝撃に対する身体的な脆弱性によるものと判断できる。
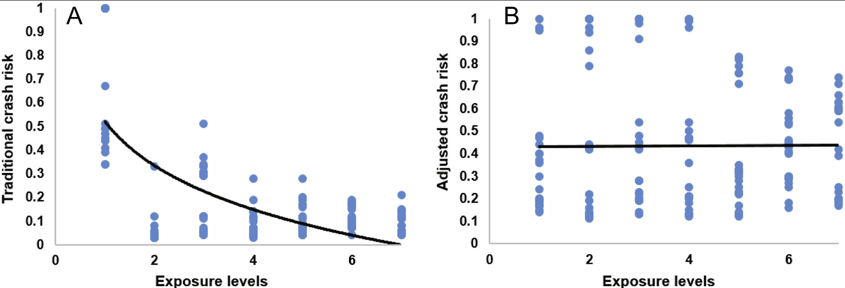
伝統的な従来の事故リスクでは、運転回数や距離の少ない運転者の事故リスクが大きく評価されることが分かっていた。(低マイレージ効果)。下図。

上図左Aは、従来の衝突事故率と被曝レベルと事故リスク、右Bは調整した事故リスクで、Bでは被ばく量とは独立であることが分かる。
以下に新しい評価法による主な結果のグラフを示す。

事故の死亡リスクを旧来の算定法と、調整した算定法で比較した年齢及び性別および時間帯で比較した。結果は、後者では高齢者の衝突の関与と致命的な危険の増加が見られないことが分かる。このグラフで興味深いもう一つの特徴は、高齢者のドライバーでリスクが昼夜で一定していることである。この原因は、衝突時の身体的脆弱性に原因するリスクは時刻に関係しないと考えると理解できる。言い換えると高齢者のリスクは身体の脆弱性のためである。
したがって、高齢者に有効な対策は、けがの程度をやわらげさせる車載技術の開発と実装に集中すべきである。


上図は、日中時刻帯に分けた死亡スク指数(最大リスクで割った比)年齢層別に積み立て棒グラフで示したもので、年齢層別に左は男性右は女性で示した。最も顕著な違いは、旧来のリスクでは最年少の男性グループが極端に危険層となっていることである。調整されたリスク評価では単独事故の場合21-29歳、車相互リスクでは30-39歳にシフトしているように見える。死亡リスクでは70歳以上で男子は微増しているように見えるが、負傷リスクでは最高齢グループまでリスクは年齢とともに減少している。